
Derivation of Equations of Dark Energy's Energy Based on Physics Relations and Hubble's Law 2025
Considering that dark energy is a real phenomenon causing galaxies to go away from each other, and their rate of separation accelerates over time, among the various forms of energy, dark energy manifests as kinetic energy, leading to the acceleration of galaxies. The subsequent relationship can be formulated for it:


Referring to the figure, different models of motion can be considered for a galaxy relative to an observer situated on Earth. However, in general, it can be asserted that this galaxy possesses both linear and rotational motion, and the following equations can be written for it:

Where r denotes the distance of the galaxy from the universe's centre, a signifies acceleration, vl represents the linear velocity of the galaxy, r1 is the distance of a galaxy from the universe's centre, re is the distance of our Earth from the universe's centre and D is the distance of the galaxy from Earth.
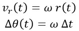
For rotational motion, the following can also be written:

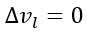
Where vr is the tangential velocity, ω is the constant angular velocity and ∆θ is the angle changes relative to the initial location. Considering the figure and the relationships above, it is clear that the observer on Earth is aligned with the galaxy, thus possessing the same linear velocity:

Nevertheless, their rotational velocity relative to each other is a specific value, which can be computed from the following relationship:

However, as previously indicated in earlier articles, Hubble's law posits the existence of rotational motion in the universe, given that dimensionally, Hubble's constant possesses the dimension of 1/s yet remains constant over time; hence, H should represent the angular velocity (ω). D also represents distance, which dimensionally corresponds to r. Consequently, the velocity in Hubble's law is effectively the tangential velocity, wherein ω denotes the angular velocity of celestial objects around the universe's centre:


Calculation of dark energy (the energy of rotational motion or an unobserved or unaccounted-for trajectory) utilizing physics laws and Hubble's law
Now, employing the figure and the preceding equations, we shall proceed to compute the dark energy of a galaxy:

Where vr1 is the same tangential velocity of the galaxy.

Also, as ω=H so the following equations can be written:

to compute the total dark energy of all galaxies, we have:


Although the distance of galaxies from the observer (Di) can be ascertained for a number of galaxies, given that the precise distance of Earth (the Milky Way galaxy) from the universe's centre (re) remains unknown, we shall instead adopt a method for computing the magnitude of dark energy within the universe at any given instant. Assume the entirety of the universe comprises n galaxies of equal mass m, and for computational convenience, we consider all galaxies to be situated at half the distance from the universe's centre. Consequently, we have:

This equation facilitates the calculation of the total dark energy of the universe at any given time, wherein K represents the “Saleh Dark Energy Constant” and r denotes the radius of the universe at any given time. The results of calculations at various illustrative time points are presented in the table below:

The equation of the total universe’s dark energy

EDT: Total dark energy of the universe at any given time
mi: Mass of the concerned galaxy
H: Hubble's constant
re: Distance of Earth from the universe's centre
Di: Distance of the concerned galaxy from the observer on Earth
K: Saleh Dark Energy Constant
r: Universe's radius at any given time
References:
[1] Saleh, Gh. "New Discoveries about the Source of Dark Energy, Its Nature, and More: Based on the Initial Energy of the Universe (Big Bang), Hubble's Law, and Its Governing Mathematical and Physical Equations (2025)." Saleh Theory, 10 Jan. 2025, https://www.saleh-theory.com/article/new-discoveries-about-the-source-of-dark-energy-its-nature-and-more-based-on-the-initial-energy-of-the-universe-big-bang-hubbles-law-and-its-governing-mathematical-and-physical-equations-2025
[4] Saleh, Gh. "New Explanation for the Nature of Dark Energy Utilizing the Hubble’s Law (Dariush Phenomenon)." Saleh Theory, 18 Oct. 2024, https://www.saleh-theory.com/article/new-explanation-for-the-nature-of-dark-energy-utilizing-the-hubbles-law-dariush-phenomenon