
A New Proof of Photon Velocity (VT = 3.3 C) Utilising Mathematical Equations, Physical Laws and the Experiments of MIT and Michigan University in the Universe 2025 Part A
1. Calculation of the Linear Speed of Electromagnetic Waves
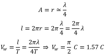
If we refer to any elementary physics book depicting the characteristics of electromagnetic waves, we will encounter the following (Figure 1):

These equations express linear speed and are derived from dividing the linear traveled distance “λ” by the time of a complete period “T.” Where “λ” represents wavelength, “T” is period and “f” is frequency.

2. Calculation of the Wave Speed of Electromagnetic Waves
Considering the Figure (1), the path traversed during the motion of an electromagnetic wave is equivalent to the circumference of a circle with radius “A.” To calculate the speed, we consider the following equations:

3. Calculation of the True Speed of Electromagnetic Waves
The birthplace of a photon is an electron orbiting around the atomic nucleus. When we induce energy changes in the electron; exciting an electron, it emits a photon. Therefore, the photon undergoes projectile motion. However, the electron rotates at a speed close to the speed of light around the nucleus, and the combination of this motion with the projectile motion of the photon results in the released photon having both rotational and linear motion simultaneously. The combination of these two paths creates a helical path. The true speed of the photon is, in fact, the speed in this helical path, which can be calculated using the following equations:
True Velocity = Linear Velocity + Wave Velocity


4. New Calculation of the Speed of Nested Helical Motion in Electromagnetic Waves
The emission of a photon from an electron is a projectile motion that causes the photon to be emitted at the speed of light “C.” However, the electron itself possesses a rotational motion around the nucleus, the combination of these two motions results in the emitted photon moving along a helical path. In fact, the first helical motion of a photon, results from the combination of the linear projectile motion caused by the emitting from the electron and the rotational motion of the electron around the nucleus of the atom.

Also, the electron has its own rotational motion around itself, spin. Given that the radius of an electron is much larger than that of a photon (approximately 200 times), another rotational motion is imposed on the photon. As a result of this rotational motion, another helix is created which we call a small helix. Therefore, when a photon emits from an electron, it will have two small and large helical motions with a constant linear speed of “C”, and the following equations can be considered:
Total Velocity = Wave Velocity + Wave Velocity + Linear Velocity

Where "VwT" is the total rotational speed and VT is the total speed in nested helical path.

5. The Experiments of MIT and Michigan University
Drawing upon the experiments conducted at the University of Michigan and the MIT, the energy formulation for photons at exceedingly short distances, specifically at time t=ϵ reveals a discrepancy with the perpetually held Planck relation. If the photon speed is “C”, the calculated energy (Ep = mp C2) is 1000% greater (ten times) than the experimental values – or, put another way, ten times the energy of a photon travelling at the speed of light. In light of those mentioned above, a revised energy equation for the photon can be articulated as follows:

It can be demonstrated obviously, through mathematical, physical, and experimental means, that the true velocity of a photon is 3.3 times the speed of light.
References:
[1] Chandler, David L. “Breaking the Law, at the Nanoscale.” MIT News | Massachusetts Institute of Technology, news.mit.edu/2009/heat-0729. Accessed 29 July 2009.
[2] Thompson, Dakotah, et al. " Hundred-fold enhancement in far-field radiative heat transfer over the blackbody limit. " Nature 561.7722 (2018): 216-221.
[3] Saleh, Gh. ""A New Proof of the Constancy of Photon Mass Using Its Initial Energy." Saleh Theory, 06 Mar. 2025, https://www.saleh-theory.com/article/a-new-proof-of-the-constancy-of-photon-mass-using-its-initial-energy
[4] Saleh, Gh. "Discovery of the Hundred-Year-Old Lost Mathematical and Physical Relationship Between the Classical Kinetic Energy of Photons and Planck's Everlasting Experimental Equation in the Universe (Planck-Saleh Energy Equation)." Saleh Theory, 28 Jun. 2024, https://www.saleh-theory.com/article/discovery-of-the-hundred-year-old-lost-mathematical-and-physical-relationship-between-the-classical-kinetic-energy-of-photons-and-plancks-everlasting-experimental-equation-in-the-universe-planck-saleh-energy-equation
[7] Saleh, Gh. "New Uncomplicated Experiment Under Ordinary Conditions (Time, Place, Sunlight, etc.) With Common Tools (Ordinary Lenses and Thermometers) to Demonstrate and Verify the Planck's Experimental Equation." Saleh Theory, 10 Jul. 2024, https://www.saleh-theory.com/article/new-uncomplicated-experiment-under-ordinary-conditions-time-place-sunlight-etc-with-common-tools-ordinary-lenses-and-thermometers-to-demonstrate-and-verify-the-plancks-experimental-equation
[8] Saleh, Gh. "New Discoveries About the Speed of Electromagnetic Waves 2024 Part A." Saleh Theory, 12 Oct. 2023, https://www.saleh-theory.com/article/new-discoveries-about-the-speed-of-electromagnetic-waves-2024-part-a
[9] Saleh, Gh. "New Discoveries About the Speed of Electromagnetic Waves 2024 Part B." Saleh Theory, 30 Oct. 2023, https://www.saleh-theory.com/article/new-discoveries-about-the-speed-of-electromagnetic-waves-2024-part-b
[10] Saleh, Gh. "New Discoveries About the Speed of Electromagnetic Waves 2024 Part C." Saleh Theory, 06 Nov. 2023, https://www.saleh-theory.com/article/new-discoveries-about-the-speed-of-electromagnetic-waves-2024-part-c
[11] Saleh, Gh. "New, Marvelous and Revolutionary Discoveries About Photon." Saleh Theory, 07 Sep. 2023, https://www.saleh-theory.com/article/new-marvelous-and-revolutionary-discoveries-about-photon
[17] Saleh, Gh. "10 Great Reasons for Helical Motion of Photon." APS Meeting Abstracts. 2022.
[20] Saleh, Gh. "Photon has a Constant Rest Mass!." Saleh Theory, 16 Mar. 2018, https://www.saleh-theory.com/article/photon-has-a-constant-rest-mass
[21] Saleh, Gh. "The Unseen World of Photon." Saleh Theory, 16 Jul. 2017, https://www.saleh-theory.com/article/the-unseen-world-of-photon
[22] Saleh, Gh. "A Revolution in Light Theory." Saleh Theory, 11 Apr. 2017, https://www.saleh-theory.com/article/a-revolution-in-light-theory
Articles
